4种深度学习图像分类算法在人工智能硅藻检验中的比较 |
| 朱永正, 张吉, 程奇, 于慧潇, 邓恺飞, 张建华, 秦志强, 赵建, 孙俊红, 黄平 |
|
Comparison among Four Deep Learning Image Classification Algorithms in AI-based Diatom Test |
| Yong-zheng ZHU, Ji ZHANG, Qi CHENG, Hui-xiao YU, Kai-fei DENG, Jian-hua ZHANG, Zhi-qiang QIN, Jian ZHAO, Jun-hong SUN, Ping HUANG |
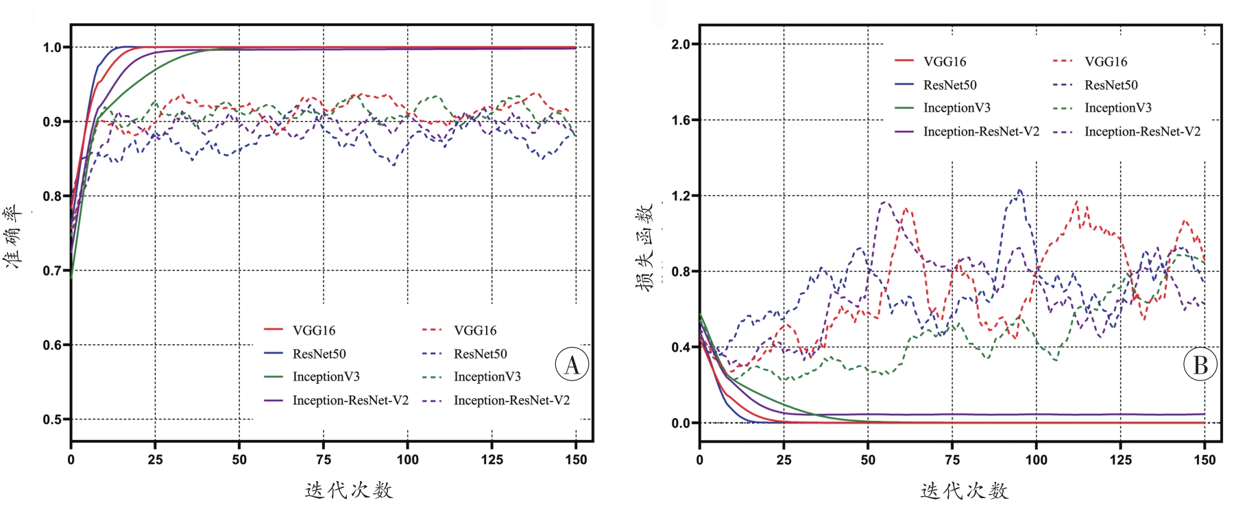
| 图3 4种模型经二阶平滑处理的训练准确率及损失函数曲线 A:准确率曲线;B:损失函数曲线。实线表示训练集,虚线表示验证集。 |
| Fig. 3 The accuracy and loss curves of four models after the 2nd order smoothing on training and validation |
|