小鼠急性心肌梗死后不同时间点的基因表达谱 |
| 李昊, 贾孝, 白雅琴, 吴鹏, 郭华林, 贠克明, 高彩荣, 郭相杰 |
|
Gene Expression Profiles at Different Time Points after Acute Myocardial Infarction in Mice |
| Hao LI, Xiao JIA, Ya-qin BAI, Peng WU, Hua-lin GUO, Ke-ming YUN, Cai-rong GAO, Xiang-jie GUO |
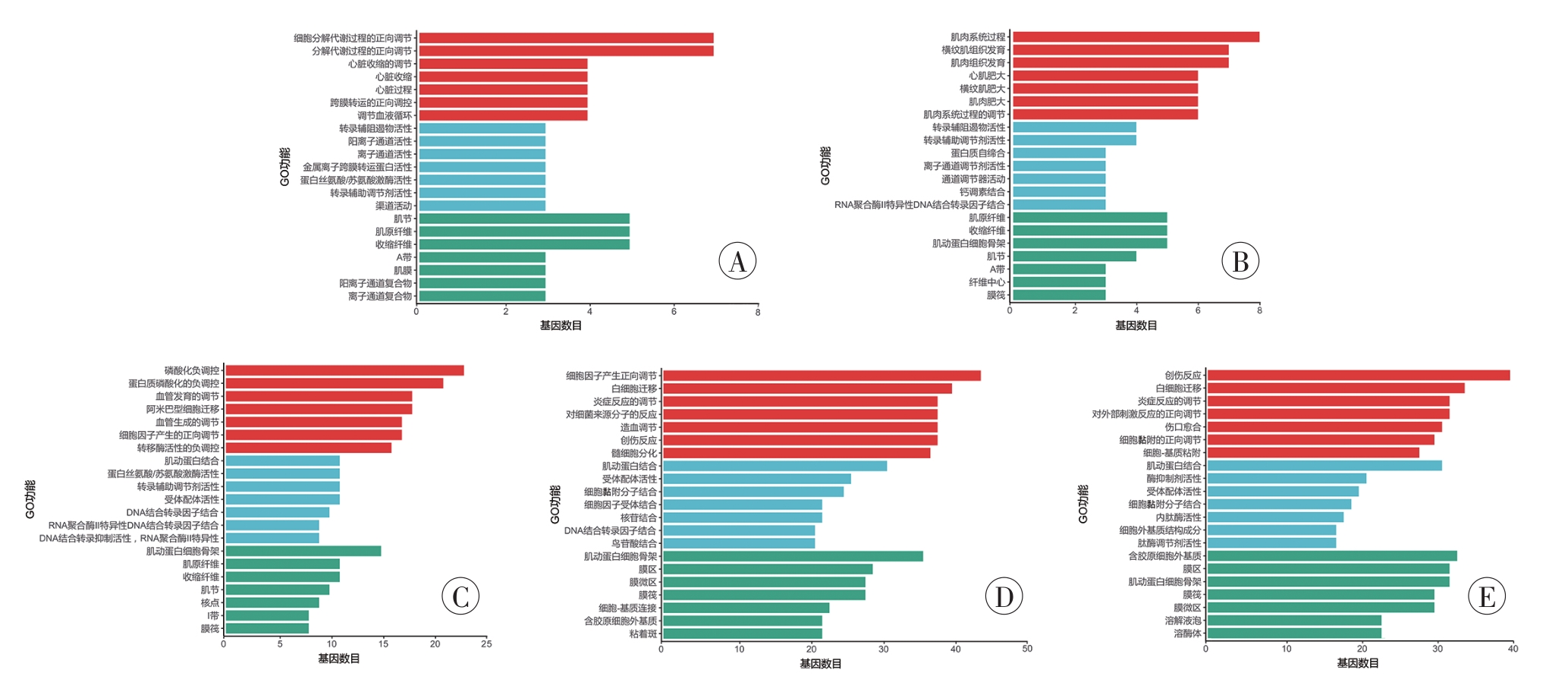
| 图2 不同时间点差异表达基因的GO富集结果 A:1 h;B:4 h;C:12 h;D:24 h;E:48 h。红色为生物功能,蓝色为分子功能,绿色为细胞组分。 |
| Fig. 2 The GO enrichment analysis of differentially expressed genes at different time points |
|