增加检测STR和引入参考样本对叔侄关系鉴定的效能分析 |
| 孔倩倩, 陈丽琴, 李成涛, 刘希玲 |
|
Efficiency Analysis of Uncle-Nephew Relationship Identification by Increasing STR Markers and Adding Reference Samples |
| Qian-qian KONG, Li-qin CHEN, Cheng-tao LI, Xi-ling LIU |
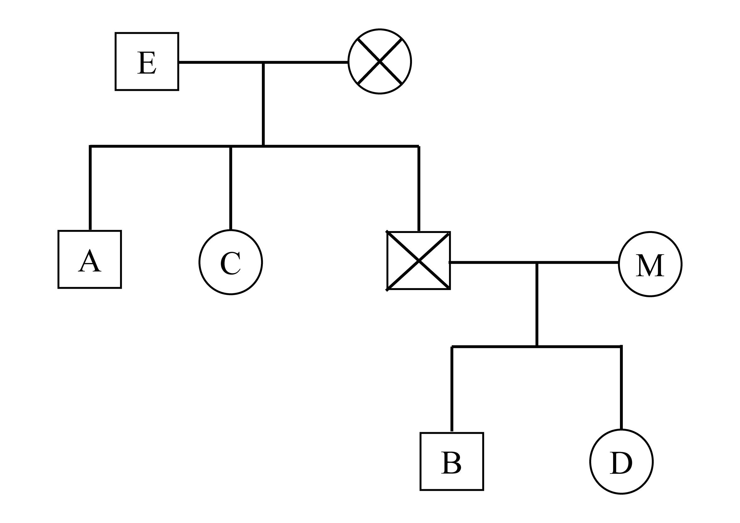
| 图1 叔侄关系鉴定家系谱图 A:叔;B:侄;C:A的全同胞;D:B的全同胞;E:A的父亲;M:B的母亲。 |
| Fig. 1 Pedigree chart of uncle-nephew relationship identification |
|