唾液菌群的直接PCR扩增-高分辨率熔解曲线分析及其法医学应用 |
| 杨瑞, 陈炯, 赵贵森 |
|
Analysis of Salivary Bacterial Community by Direct PCR and High Resolution Melting Curve and Its Forensic Applications |
| Rui YANG, Jiong CHEN, Gui-sen ZHAO |
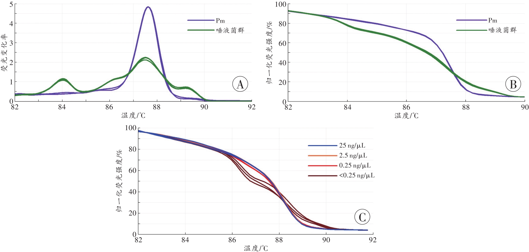
| 图2 唾液菌群的kPCR-HRM图谱 A:唾液菌群的熔解曲线;B:唾液菌群的HRM图谱;C:同一样本不同浓度的HRM图谱。 |
| Fig. 2 kPCR-HRM profiles of salivary bacterial community |
|