3种新精神活性物质的结构确证及未知毒品的定性鉴定  | 
		
| 聂宗炀, 胡伟, 李玲玉, 章青波, 黄欣, 李波 | 
| 
				 Structure Confirmation of Three New Psychoactive Substances and Qualitative Identification of Unknown Substances  | 
		
| Zong-yang NIE, Wei HU, Ling-yu LI, Qing-bo ZHANG, Xin HUANG, Bo LI | 
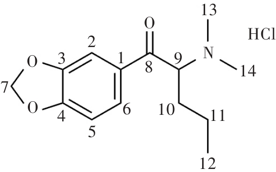
| 图12 化合物D的结构 | 
	
| Fig. 12 Structure of compound D | 
	
			 
		 |