小鼠急性心肌梗死后不同时间点的基因表达谱
李昊 , 1 , * , 贾孝 , 2 , * , 白雅琴 1 , 吴鹏 1 , 郭华林 3 , 贠克明 1 , 高彩荣 , 1 , 郭相杰 , 1
1.山西医科大学法医学院,山西 晋中 030600
2.证据科学教育部重点实验室(中国政法大学),北京 100088
3.内蒙古医科大学,内蒙古 呼和浩特 010110
Gene Expression Profiles at Different Time Points after Acute Myocardial Infarction in Mice
LI Hao , 1 , * , JIA Xiao , 2 , * , BAI Ya-qin 1 , WU Peng 1 , GUO Hua-lin 3 , YUN Ke-ming 1 , GAO Cai-rong , 1 , GUO Xiang-jie , 1
1.School of Forensic Medicine, Shanxi Medical University, Jinzhong 030600, Shanxi Province, China
2.Key Laboratory of Evidence Science, Ministry of Education, China University of Political Science and Law, Beijing 100088, China
3.Inner Mongolia Medical University, Hohhot 010110, Inner Mongolia, China
通讯作者: 郭相杰,男,博士,硕士研究生导师,副教授,主要从事疑难复杂死因的法医病理学鉴定研究;E-mail:258187101@qq.com 高彩荣,女,博士,博士研究生导师,主要从事猝死相关的法医病理学研究;E-mail:gaocairong5175@163.com
第一联系人: 李昊和贾孝为共同第一作者
编委: 李正东
收稿日期: 2021-05-25
基金资助:
国家自然科学基金资助项目 . 81971790 山西省基础研究计划资助项目 . 20210302123314
摘要
目的 探寻急性心肌梗死(acute myocardial infarction,AMI)小鼠心肌组织mRNA的差异表达及时序性变化规律。 方法 从基因表达综合数据库中下载小鼠AMI相关数据集GSE4648,筛选数据集中AMI实验组和假手术对照组术后0.25、1、4、12、24、48 h 6个时间点左心室心肌组织样本各6个,空白对照组左心室心肌组织样本数据6个,共78个样本数据进行分析。使用R软件包中的Bioconductor package limma分析差异表达基因,使用clusterProfiler进行功能通路富集分析,使用STRING数据库及Cytoscape软件构建蛋白质-蛋白质相互作用关系(protein-protein interaction,PPI)网络、Degree拓扑算法确定关键基因,最后使用Mfuzz进行时序性聚类分析。 结果 共1 320个差异表达基因与AMI发生发展有关。功能富集结果包括细胞分解代谢过程、炎症反应的调控、肌肉系统及脉管系统发育、细胞黏附等,信号通路主要富集于丝裂原活化蛋白激酶信号通路。AMI关键基因包括MYL7、TSC22D2、HSPA1A、BTG2、NR4A1、RYR2 ,在AMI发生后0.25~48 h出现不同程度的上调或下调。 结论 AMI中差异表达基因的功能信号通路及关键基因的时序性表达可能为AMI的法医学鉴定提供参考。
关键词:
法医病理学
;
生物信息学
;
急性心肌梗死
;
差异表达基因
;
时序性表达
;
小鼠
Abstract
Objective To explore the mRNA differential expressions and the sequential change pattern in acute myocardial infarction (AMI) mice. Methods The AMI mice relevant dataset GSE4648 was downloaded from Gene Expression Omnibus (GEO). In the dataset, 6 left ventricular myocardial tissue samples were selected at 0.25, 1, 4, 12, 24 and 48 h after operation in AMI group and sham control group, and 6 left ventricular myocardial tissue samples were selected in blank control group, a total of 78 samples were analyzed. Differentially expressed genes (DEGs) were analyzed by R/Bioconductor package limma, functional pathway enrichment analysis was performed by clusterProfiler, protein-protein interaction (PPI) network was constructed by STRING database and Cytoscape software, the key genes were identified by Degree topological algorithm, cluster sequential changes on DEGs were analyzed by Mfuzz. Results A total of 1 320 DEGs were associated with the development of AMI. Functional enrichment results included cellular catabolic process, regulation of inflammatory response, development of muscle system and vasculature system, cell adhesion and signaling pathways mainly enriched in mitogen-activated protein kinase (MAPK) signaling pathway. The key genes of AMI included MYL7 , TSC22D2 , HSPA1A , BTG2 , NR4A1 , RYR2 were up-regulated or down-regulated at 0.25-48 h after the occurrence of AMI. Conclusion The functional signaling pathway of DEGs and the sequential expression of key genes in AMI may provide a reference for the forensic identification of AMI.
Keywords:
forensic pathology
;
bioinformatics
;
acute myocardial infarction
;
differentially expressed genes
;
sequential expression
;
mice
本文引用格式
李昊, 贾孝, 白雅琴, 吴鹏, 郭华林, 贠克明, 高彩荣, 郭相杰. 小鼠急性心肌梗死后不同时间点的基因表达谱 . 法医学杂志 [J], 2022, 38(3): 343-349 DOI:10.12116/j.issn.1004-5619.2021.410505
LI Hao, JIA Xiao, BAI Ya-qin, WU Peng, GUO Hua-lin, YUN Ke-ming, GAO Cai-rong, GUO Xiang-jie. Gene Expression Profiles at Different Time Points after Acute Myocardial Infarction in Mice . Journal of Forensic Medicine [J], 2022, 38(3): 343-349 DOI:10.12116/j.issn.1004-5619.2021.410505
心肌梗死(myocardial infarction,MI)是指持续性缺血缺氧导致的心肌细胞坏死。绝大多数心肌梗死是由于冠状动脉粥样硬化引起的管腔狭窄或血栓栓塞导致,少数是由于冠状动脉痉挛引起血管壁严重收缩使管腔闭塞而致。急性心肌梗死(acute myocardial infarction,AMI)起病急骤,每年可导致900万人死亡,是全球死亡事件发生的主要原因之一[1 -3 ] 。在法医学实践中,推断AMI的发生时间存在困难,本研究通过分析美国国立生物技术信息中心(National Center for Biotechnology Information,NCBI)基因表达综合数据库(gene expression omnibus,GEO)公共数据中的GSE4648数据集,分析数据集内小鼠AMI后0.25、1、4、12、24、48 h的差异表达基因,并对其进行功能通路富集分析、构建蛋白质-蛋白质相互作用关系(protein-protein interaction,PPI)网络、拓扑分析筛选关键基因并进行时序性聚类分析,以期为AMI相关研究提供借鉴或参考,并为AMI猝死的法医学鉴定提供潜在的生物标志物。
1 材料与方法
1.1 数据样本
从NCBI的GEO数据库(https://www.ncbi.nlm.nih.gov/geo/ )下载GSE4648数据集,该数据集是将C57BL/6J小鼠冠状动脉左前降支进行手术结扎建立AMI实验组,只穿线不结扎建立假手术对照组,分别于术后0.25、1、4、12、24、48 h共6个时间点收集左心室心肌样本,同时设立不做任何处理的空白对照组模型并收集左心室心肌样本,对上述3组心肌组织进行基因芯片检测,得到转录本数据集[4 ] 。
本研究从GSE4648数据集中选取AMI实验组和假手术对照组两组术后0.25、1、4、12、24、48 h的左心室心肌组织样本数据,每组每个时间点6个样本,空白对照组左心室心肌组织样本数据6个,共78个样本转录组数据进行分析。
1.2 方法
1.2.1 不同时间点的差异表达基因鉴定
基于芯片平台(GPL81、GPL82、GPL83)的基因注释信息使用perl语言进行转录本注释,将探针ID转化为基因符号或者Entrez编号(Entrez ID)。对于同一基因的多个探针,取差异表达最明显的数值进一步分析。删除测序结果中的非mRNA探针,并对处理后的结果进行归一化处理。在R.4.0.4环境下,使用R软件包impute(R/Bioconductor package impute v3.15)对芯片原始数据进行背景校正和分位数标准化后,用R软件包limma(R/Bioconductor package limma v3.32.2)进行差异表达分析,将阈值设定为差异变化倍数(fold change,FC)上调或下调2倍(|log2 FC|>1)且P <0.05。使用R软件包ggplot2(R/Bioconductor package ggplot2 v3.3.5)绘制6个时间点差异表达基因的火山图。
1.2.2 不同时间点差异表达基因的功能通路富集分析
基因本体论(gene ontology,GO)富集从生物过程、分子功能和细胞组分对基因进行分类。京都基因与基因组百科全书(Kyoto encyclopedia of genes and enomes,KEGG)主要包含三类内容:基因信息数据、系统信息数据和化学信息数据。为了探寻不同时间点差异表达基因的功能和信号通路,利用R软件包clusterProfiler、org.Hs.eg.db、org.Mm.eg.db、enrichplot、ggplot2对不同时间点的差异表达基因进行GO和KEGG富集分析。
1.2.3 筛选关键基因
STRING(https://cn.string-db.org/ )是分析各种来源蛋白相互作用的数据库,包括已知和未知的预测关系。将各个时间点的差异表达基因导入STRING,以最小互作评分≥0.4的蛋白构建网络图。随后利用Cytoscape v3.7.1(National Resource for Network Biology,https://cytoscape.org/ )中的CytoHubba插件分析PPI网络的拓扑学参数,通过Degree拓扑分析算法筛选各时间点排在前10位的关键基因。
1.2.4 基因聚类分析
对前述不同时间点的差异表达基因取交集,得到在不同时间点中均发生差异表达的交集基因,12~48 h基因数较多,为进一步分析这些基因的表达特点,使用R软件包Mfuzz(R/Bioconductor package Mfuzz v2.36.0)对该数据进行噪声抗变性软聚类分析。根据基因随时间的变化趋势将结果分为不同的模块(如持续上升、持续下降、先升后降),将结果可视化为基因聚类趋势图。
2 结果
2.1 不同时间点差异表达基因
通过R/Bioconductor package limma差异分析共筛选出1 320个差异表达基因。与空白对照组相比,冠状动脉左前降支结扎术后各时间点差异表达基因的数目及表达情况(图1 、表1 )显示,随着心肌缺血时间的延长,DEG数量呈上升趋势,且表达以上调为主。
图1
图1
不同时间点差异表达基因的表达变化
A:0.25 h;B:1 h;C:4 h;D:12 h;E:24 h;F:48 h。红色为表达上调,蓝色为表达下调。
Fig. 1
The expression changes of DEG at different time points
2.2 GO功能富集分析
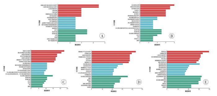
对不同时间点缺血心肌组织中的差异表达基因进行GO富集,AMI后0.25 h仅2个基因,未能产生富集结果。AMI后1 h差异表达基因富集到的生物功能包括细胞分解代谢过程的正向调节、心肌收缩的调节、跨膜转运的正向调控等;分子功能涉及转录辅阻遏物活性、阳离子通道活性及蛋白丝氨酸/苏氨酸激酶活性等;细胞组分有肌节、肌原纤维及收缩纤维等(图2 A)。AMI后4 h差异表达基因富集到的生物功能涉及肌肉系统过程、横纹肌组织发育、心肌肥大等;分子功能涉及转录辅阻遏物活性、转录辅助调节剂活性、蛋白质自缔合等;细胞组分有肌原纤维、收缩纤维、肌动蛋白细胞骨架等(图2 B)。AMI后12 h差异表达基因富集到的生物功能涉及磷酸化负调控、血管发育的调节、血管生成的调节等;分子功能包括肌动蛋白结合、蛋白质丝氨酸/苏氨酸激酶活性、转录辅助调节剂活性等;细胞组分有肌动蛋白细胞骨架、肌原纤维、收缩纤维等(图2 C)。AMI后24 h差异表达基因富集到的生物功能涉及细胞因子产生正向调节、白细胞迁移、炎症反应的调节等;分子功能包括肌动蛋白结合、受体配体活性、细胞黏附分子结合等;细胞组分有肌动蛋白细胞骨架、膜区、膜微区等(图2 D)。AMI后48 h差异表达基因富集到的生物功能包括创伤反应、白细胞迁移、炎症反应的调节等;分子功能包括肌动蛋白结合、酶抑制剂活性、受体配体活性等;细胞组分有含胶原的细胞外基质、膜区、肌动蛋白细胞骨架等(图2 E)。
图2
图2
不同时间点差异表达基因的GO富集结果
A:1 h;B:4 h;C:12 h;D:24 h;E:48 h。红色为生物功能,蓝色为分子功能,绿色为细胞组分。
Fig. 2
The GO enrichment analysis of differentially expressed genes at different time points
2.3 KEGG通路富集分析
KEGG信号通路分析结果显示,AMI后0.25 h仅2个差异基因未得到富集结果。从图3 可以看到,差异表达基因在AMI 1 h后主要参与了Apelin信号通路、丝裂原活化蛋白激酶(mitogen-activated protein kinase,MAPK)信号通路、心肌收缩、心肌细胞中的肾上腺素能信号传导等;AMI后4 h主要富集于癌症中的蛋白聚糖、钙信号通路、ErbB信号通路等;AMI后12 h主要富集于MAPK信号通路、PI3K-Akt信号通路、流体剪切应力与动脉粥样硬化等;AMI后24 h主要参与细胞因子-细胞因子受体相互作用、MAPK信号通路、趋化因子信号通路等;AMI后48 h主要参与沙门氏菌感染、吞噬体、肌动蛋白细胞骨架的调节等(图3 E)。
图3
图3
不同时间点差异表达基因的KEGG富集结果
A:1 h;B:4 h;C:12 h;D:24 h;E:48 h。基因比值是指富集到该通路的基因数占全部差异基因数的比值。
Fig. 3
The KEGG enrichment analysis of differentially expressed genes at different time points
2.4 PPI网络和拓扑算法鉴定关键基因
通过Degree拓扑分析算法筛选到各时间点排在前10位关键基因的共表达及互作网络(图4 ),AMI后0.25 h基因数低于10个,未产生结果。基因之间的连线代表其相互作用关系,基因的Degree值越大,颜色越深,说明在网络中发挥的作用越重要。
图4
图4
关键基因的共表达及互作网络
A:1 h;B:4 h;C:12 h;D:24 h;E:48 h。Degree值越大,颜色越深。
Fig. 4
The co-expression and interaction network of key genes
2.5 差异表达基因的时序性聚类分析
对AMI实验组各时间点差异表达基因取交集获得多时间点交集差异表达基因,将1~48 h的基因交集进行可视化(图5 ),并分析其中存在3个时间点及以上交集基因的时序性变化特点,发现AMI后6个时间点中没有基因持续发生差异表达。根据基因发生差异时间点的早晚和数量,在AMI后0.25、1、4、12 h肌球蛋白轻链7(myosin light chain 7,MYL7)基因差异表达持续下调;AMI后1、4、12、24、48 h TSC22域家族成员2(TSC22 domain family member 2,TSC22D2)基因差异表达持续上调;AMI后1、4、12、24 h诱导型热激蛋白1A(heat shock protein 1A,HSPA1A)基因差异表达持续上调;AMI后1、4、12 h B细胞异位基因2(B-cell translocation gene 2,BTG2)、孤儿核受体亚家族4A1(nuclear receptor subfamily 4 group A member 1,NR4A1)基因差异表达持续上调。兰尼碱受体2(ryanodine receptor 2,RYR2)仅在1、4 h表达上调,但该基因在2个时间点的关键基因共表达及互作网络中均发挥了重要作用(表2 )。
图5
图5
不同时间点差异表达基因交集韦恩图
红色:1 h;蓝色:4 h;橙色:12 h;绿色:24 h;紫色:48 h。数字分别代表各时间点差异表达基因数量。
Fig. 5
The Venn diagram of the intersection of differentially expressed genes at different time points
此外,在AMI后12、24、48 h这3个时间点,共有82个基因存在差异表达,对其进行时序性基因聚类分析以探索这些基因的表达变化,结果表明,82个基因可分为3个聚类,聚类结果随时间的改变呈现不同的变化趋势(图6 )。聚类1有33个基因表达值随时间变化呈先上升后下降的趋势,为先上调后下调基因;聚类2有26个基因表达值随时间变化整体呈上升趋势,为上调基因;聚类3有23个基因表达值随时间变化整体呈下降趋势,为下调基因。
图6
图6
AMI后12、24、48 h差异表达基因的时序性表达
A:先上调后下调基因;B:上调基因;C:下调基因。红色为该聚类中心变化,黄-灰-蓝颜色变化表示依次偏离聚类中心。
Fig. 6
The sequential expression of post-AMI of different expressed genes at 12 h, 24 h and 48 h
3 讨论
在法医学鉴定实践中,关于心脏性猝死(sudden cardiac death,SCD),法医病理学家多参考美国心脏学会和美国心脏病学会的定义[5 -6 ] “出现症状1 h内发生的死亡,或指先前无任何症状但可能是由于心脏原因导致24 h内发生的死亡”。冠状动脉粥样硬化性心脏病(coronary heart disease,CAD)引起的猝死约占SCD病因的80%[7 ] ,CAD引发的猝死死亡过程较短,缺乏特异的急性心肌梗死的病理学及形态学改变,尽管MI是CAD中的重要改变,但MI一般在心肌受损6 h之后才能肉眼辨认。本研究对AMI后6个时间点心肌组织的差异表达基因进行生物信息学分析,锁定AMI发生发展过程中的关键基因,以期为AMI猝死的法医学诊断提供分子标志物,为法医学研究提供借鉴和参考。
本研究通过对AMI的1 320个差异表达基因进行GO和KEGG富集分析,发现随着AMI后时间延长,差异表达基因数量整体呈上升趋势,且表达以上调为主。GO富集结果显示,随着AMI后的时间延长,不同时间点差异表达基因沿时序所参与的心肌收缩的调节、心肌肥大、血管发育的调节、炎症反应的调节等生物功能,符合AMI后的病理生理过程。KEGG结果显示,在AMI后1~48 h的5个时间点均富集到MAPK信号通路。MAPK级联反应在MI后可以促进心肌细胞生长,抑制心肌细胞间的缝隙连接,促进心肌纤维化进而推动病理性心肌纤维化的发展[8 -9 ] ,这提示MAPK信号通路在AMI的发生发展过程中发挥关键作用。
本研究分析的多个AMI关键基因中,MYL7、TSC22D2、HSPA1A、BTG2、NR4A1、RYR2 的时序性差异表达有较明显的特异性,可能在AMI的发生发展中发挥重要作用。SURESH等[10 ] 将发生AMI的31名患者与正常人的外周血进行比较,发现MYL7、TSC22D2、BTG2、NR4A1、RYR2 均存在异常表达。MYL7 参与肌动蛋白细胞骨架合成,调节心脏发育和心肌收缩[11 ] ,已有学者通过监测AMI患者MYL7 的同系物MYL1 评估心肌梗死组织面积,被认为是极具潜力的AMI诊断标志物[12 -13 ] 。如能在AMI猝死者中证实MYL7 的特异性,则可以通过单克隆固相酶免疫测定和放射免疫测定将检测MYL7 应用于AMI猝死的法医学实践。TSC22D2 隶属于TSC22 家族,是转化生长因子-β(transforming growth factor-β,TGF-β)的主要效应因子。研究[14 -15 ] 结果表明,TSC22 通过促进TGF-β信号传导引起多种纤维化因子(如α-SMA、血浆纤溶酶原激活物抑制剂-1、胶原蛋白Ⅰ和纤连蛋白)的过表达,促进MI后心肌纤维化。HSPA1A是一种自我保护蛋白,过表达可以增强损伤心肌的耐受性,抑制心肌纤维化、改善心肌细胞坏死性改变[16 ] 。有研究[17 ] 结果表明,在AMI后早期(第2天)和晚期(第7天)的炎症反应阶段,异常表达的HSPA1A可能参与炎症反应,本研究结果与其相同。BTG2 调节细胞周期、参与应激反应[18 ] ,有研究[19 ] 结果显示,BTG2 在MI后表达上调,本研究结果与其一致。BTG2 可能是MI关键调节因子。NR4A1 可以有效抑制心肌肥大、血管狭窄,在MI后早期可以参与单核细胞的炎症反应,晚期可能介导巨噬细胞的损伤修复反应[20 -21 ] 。RYR2 的过度活化已被证实与恶性心律不齐、心肌收缩功能障碍和心脏中的不良结构重塑密切相关[22 ] 。
综上所述,与AMI关系密切的关键基因有MYL7、TSC22D2、HSPA1A、BTG2、NR4A1、RYR2 ,在AMI发生后呈现一定的时序性变化,可为AMI猝死的法医学鉴定及相关研究提供借鉴和参考。
参考文献
View Option
[1]
JENNINGS R B , GANOTE C E . Structural changes in myocardium during acute ischemia
[J]. Circ Res ,1974 ,35 (S3 ):156 -172 .
[本文引用: 1]
[2]
MICHAUD K , BASSO C , D’AMATI G , et al . Diagnosis of myocardial infarction at autopsy: AECVP reappraisal in the light of the current clinical classification
[J]. Virchows Arch ,2020 ,476 (2 ):179 -194 . doi:10.1007/s00428-019-02662-1 .
[3]
LORENZON DOS SANTOS J , SCHAAN DE QUADROS A , WESCHENFELDER C , et al . Oxidative stress biomarkers, nut-related antioxidants, and cardiovascular disease
[J]. Nutrients ,2020 ,12 (3 ):682 . doi:10.3390/nu12030682 .
[本文引用: 1]
[4]
HARPSTER M H , BANDYOPADHYAY S , THOMAS D P , et al . Earliest changes in the left ventricular transcriptome post-myocardial infarction
[J]. Mamm Genome ,2006 ,17 (7 ):701 -715 . doi:10.1007/s00335-005-0120-1 .
[本文引用: 1]
[5]
THYGESEN K , ALPERT J S , JAFFE A S , et al . Fourth universal definition of myocardial infarction (2018)
[J]. Eur Heart J ,2018 ,40 (3 ):237 -269 . doi:10.1093/eurheartj/ehy462 .
[本文引用: 1]
[6]
[本文引用: 1]
ZHENG D , YIN K , ZHENG J J , et al . Research progress of sudden cardiac death in forensic medicine
[J]. Fayixue Zazhi ,2017 ,33 (5 ):457 -469 .
[本文引用: 1]
[8]
MUSLIN A J . MAPK signalling in cardiovascular health and disease: Molecular mechanisms and therapeutic targets
[J]. Clin Sci ,2008 ,115 (7 ):203 -218 . doi:10.1042/CS20070430 .
[本文引用: 1]
[9]
WANG Q L , QU X Q , ZHENG L , et al . Atorvastatin improves cardiac function of mice with acute myocardial infarction by interfering in macrophages to activate mitogen-activated protein kinase pathway
[J]. Panminerva Med ,2021 ,63 (2 ):236 -237 . doi:10.23736/S0031-0808.19.03680-2 .
[本文引用: 1]
[10]
SURESH R , LI X , CHIRIAC A , et al . Transcriptome from circulating cells suggests dysregulated pathways associated with long-term recurrent events following first-time myocardial infarction
[J]. J Mol Cell Cardiol ,2014 ,74 :13 -21 . doi:10.1016/j.yjmcc. 2014.04.017 .
[本文引用: 1]
[11]
NEWMAN M S , NGUYEN T , WATSON M J , et al . Transcriptome profiling reveals novel BMI- and sex-specific gene expression signatures for human cardiac hypertrophy
[J]. Physiol Genom ,2017 ,49 (7 ):355 -367 . doi:10.1152/physiolgenomics.00122.2016 .
[本文引用: 1]
[12]
KATUS H A , DIEDERICH K W , UELLNER M , et al . Myosin light chains release in acute myocardial infarction: Non-invasive estimation of infarct size
[J]. Cardiovasc Res ,1988 ,22 (7 ):456 -463 . doi:10.1093/cvr/22.7.456 .
[本文引用: 1]
[13]
ISOBE M , NAGAI R , UEDA S , et al . Quantitative relationship between left ventricular function and serum cardiac myosin light chain I levels after coronary reperfusion in patients with acute myocardial infarction
[J]. Circulation ,1987 ,76 (6 ):1251 -1261 . doi:10.1161/01.cir.76.6.1251 .
[本文引用: 1]
[14]
LIANG F , LI Q , LI X Y , et al . TSC22D2 interacts with PKM2 and inhibits cell growth in colorectal cancer
[J]. Int J Oncol ,2016 ,49 (3 ):1046 -1056 . doi:10.3892/ijo.2016.3599 .
[本文引用: 1]
[15]
XIAO L , WEI F , LIANG F , et al . TSC22D2 identified as a candidate susceptibility gene of multi-cancer pedigree using genome-wide linkage analysis and whole-exome sequencing
[J]. Carcinogenesis ,2019 ,40 (7 ):819 -827 . doi:10.1093/carcin/bgz095 .
[本文引用: 1]
[16]
HOOGSTRA-BERENDS F , MEIJERING R A M , ZHANG D L , et al . Heat shock protein-inducing compounds as therapeutics to restore proteostasis in atrial fibrillation
[J]. Trends Cardiovasc Med ,2012 ,22 (3 ):62 -68 . doi:10.1016/j.tcm.2012.06.013 .
[本文引用: 1]
[17]
ROY S , KHANNA S , KUHN D E , et al . Transcriptome analysis of the ischemia-reperfused remode-ling myocardium: Temporal changes in inflammation and extracellular matrix
[J]. Physiol Genom ,2006 ,25 (3 ):364 -374 . doi:10.1152/physiolgenomics.00013.2006 .
[本文引用: 1]
[18]
YUNIATI L , SCHEIJEN B , VAN DER MEER L T , et al . Tumor suppressors BTG1 and BTG2: Beyond growth control
[J]. J Cell Physiol ,2019 ,234 (5 ):5379 -5389 . doi:10.1002/jcp.27407 .
[本文引用: 1]
[19]
HU D X , GU Y , WU D , et al . Icariside II protects cardiomyocytes from hypoxia‑induced injury by upregulating the miR‑7‑5p/BTG2 axis and activating the PI3K/Akt signaling pathway
[J]. Int J Mol Med ,2020 ,46 (4 ):1453 -1465 . doi:10.3892/ijmm.2020.4677 .
[本文引用: 1]
[21]
HILGENDORF I , GERHARDT L M S , TAN T C , et al . Ly-6Chigh monocytes depend on Nr4a1 to balance both inflammatory and reparative phases in the infarcted myocardium
[J]. Circ Res ,2014 ,114 (10 ):1611 -1622 . doi:10.1161/CIRCRESAHA.114.303204 .
[本文引用: 1]
[22]
MEISSNER G . The structural basis of ryanodine receptor ion channel function
[J]. J Gen Physiol ,2017 ,149 (12 ):1065 -1089 . doi:10.1085/jgp.201711878 .
[本文引用: 1]
Structural changes in myocardium during acute ischemia
1
1974
... 心肌梗死(myocardial infarction,MI)是指持续性缺血缺氧导致的心肌细胞坏死.绝大多数心肌梗死是由于冠状动脉粥样硬化引起的管腔狭窄或血栓栓塞导致,少数是由于冠状动脉痉挛引起血管壁严重收缩使管腔闭塞而致.急性心肌梗死(acute myocardial infarction,AMI)起病急骤,每年可导致900万人死亡,是全球死亡事件发生的主要原因之一[1 -3 ] .在法医学实践中,推断AMI的发生时间存在困难,本研究通过分析美国国立生物技术信息中心(National Center for Biotechnology Information,NCBI)基因表达综合数据库(gene expression omnibus,GEO)公共数据中的GSE4648数据集,分析数据集内小鼠AMI后0.25、1、4、12、24、48 h的差异表达基因,并对其进行功能通路富集分析、构建蛋白质-蛋白质相互作用关系(protein-protein interaction,PPI)网络、拓扑分析筛选关键基因并进行时序性聚类分析,以期为AMI相关研究提供借鉴或参考,并为AMI猝死的法医学鉴定提供潜在的生物标志物. ...
Diagnosis of myocardial infarction at autopsy: AECVP reappraisal in the light of the current clinical classification
0
2020
Oxidative stress biomarkers, nut-related antioxidants, and cardiovascular disease
1
2020
... 心肌梗死(myocardial infarction,MI)是指持续性缺血缺氧导致的心肌细胞坏死.绝大多数心肌梗死是由于冠状动脉粥样硬化引起的管腔狭窄或血栓栓塞导致,少数是由于冠状动脉痉挛引起血管壁严重收缩使管腔闭塞而致.急性心肌梗死(acute myocardial infarction,AMI)起病急骤,每年可导致900万人死亡,是全球死亡事件发生的主要原因之一[1 -3 ] .在法医学实践中,推断AMI的发生时间存在困难,本研究通过分析美国国立生物技术信息中心(National Center for Biotechnology Information,NCBI)基因表达综合数据库(gene expression omnibus,GEO)公共数据中的GSE4648数据集,分析数据集内小鼠AMI后0.25、1、4、12、24、48 h的差异表达基因,并对其进行功能通路富集分析、构建蛋白质-蛋白质相互作用关系(protein-protein interaction,PPI)网络、拓扑分析筛选关键基因并进行时序性聚类分析,以期为AMI相关研究提供借鉴或参考,并为AMI猝死的法医学鉴定提供潜在的生物标志物. ...
Earliest changes in the left ventricular transcriptome post-myocardial infarction
1
2006
... 从NCBI的GEO数据库(https://www.ncbi.nlm.nih.gov/geo/ )下载GSE4648数据集,该数据集是将C57BL/6J小鼠冠状动脉左前降支进行手术结扎建立AMI实验组,只穿线不结扎建立假手术对照组,分别于术后0.25、1、4、12、24、48 h共6个时间点收集左心室心肌样本,同时设立不做任何处理的空白对照组模型并收集左心室心肌样本,对上述3组心肌组织进行基因芯片检测,得到转录本数据集[4 ] . ...
Fourth universal definition of myocardial infarction (2018)
1
2018
... 在法医学鉴定实践中,关于心脏性猝死(sudden cardiac death,SCD),法医病理学家多参考美国心脏学会和美国心脏病学会的定义[5 -6 ] “出现症状1 h内发生的死亡,或指先前无任何症状但可能是由于心脏原因导致24 h内发生的死亡”.冠状动脉粥样硬化性心脏病(coronary heart disease,CAD)引起的猝死约占SCD病因的80%[7 ] ,CAD引发的猝死死亡过程较短,缺乏特异的急性心肌梗死的病理学及形态学改变,尽管MI是CAD中的重要改变,但MI一般在心肌受损6 h之后才能肉眼辨认.本研究对AMI后6个时间点心肌组织的差异表达基因进行生物信息学分析,锁定AMI发生发展过程中的关键基因,以期为AMI猝死的法医学诊断提供分子标志物,为法医学研究提供借鉴和参考. ...
心脏性猝死的法医学研究进展
1
2017
... 在法医学鉴定实践中,关于心脏性猝死(sudden cardiac death,SCD),法医病理学家多参考美国心脏学会和美国心脏病学会的定义[5 -6 ] “出现症状1 h内发生的死亡,或指先前无任何症状但可能是由于心脏原因导致24 h内发生的死亡”.冠状动脉粥样硬化性心脏病(coronary heart disease,CAD)引起的猝死约占SCD病因的80%[7 ] ,CAD引发的猝死死亡过程较短,缺乏特异的急性心肌梗死的病理学及形态学改变,尽管MI是CAD中的重要改变,但MI一般在心肌受损6 h之后才能肉眼辨认.本研究对AMI后6个时间点心肌组织的差异表达基因进行生物信息学分析,锁定AMI发生发展过程中的关键基因,以期为AMI猝死的法医学诊断提供分子标志物,为法医学研究提供借鉴和参考. ...
心脏性猝死的法医学研究进展
1
2017
... 在法医学鉴定实践中,关于心脏性猝死(sudden cardiac death,SCD),法医病理学家多参考美国心脏学会和美国心脏病学会的定义[5 -6 ] “出现症状1 h内发生的死亡,或指先前无任何症状但可能是由于心脏原因导致24 h内发生的死亡”.冠状动脉粥样硬化性心脏病(coronary heart disease,CAD)引起的猝死约占SCD病因的80%[7 ] ,CAD引发的猝死死亡过程较短,缺乏特异的急性心肌梗死的病理学及形态学改变,尽管MI是CAD中的重要改变,但MI一般在心肌受损6 h之后才能肉眼辨认.本研究对AMI后6个时间点心肌组织的差异表达基因进行生物信息学分析,锁定AMI发生发展过程中的关键基因,以期为AMI猝死的法医学诊断提供分子标志物,为法医学研究提供借鉴和参考. ...
Sudden cardiac death caused by coronary heart disease
1
2012
... 在法医学鉴定实践中,关于心脏性猝死(sudden cardiac death,SCD),法医病理学家多参考美国心脏学会和美国心脏病学会的定义[5 -6 ] “出现症状1 h内发生的死亡,或指先前无任何症状但可能是由于心脏原因导致24 h内发生的死亡”.冠状动脉粥样硬化性心脏病(coronary heart disease,CAD)引起的猝死约占SCD病因的80%[7 ] ,CAD引发的猝死死亡过程较短,缺乏特异的急性心肌梗死的病理学及形态学改变,尽管MI是CAD中的重要改变,但MI一般在心肌受损6 h之后才能肉眼辨认.本研究对AMI后6个时间点心肌组织的差异表达基因进行生物信息学分析,锁定AMI发生发展过程中的关键基因,以期为AMI猝死的法医学诊断提供分子标志物,为法医学研究提供借鉴和参考. ...
MAPK signalling in cardiovascular health and disease: Molecular mechanisms and therapeutic targets
1
2008
... 本研究通过对AMI的1 320个差异表达基因进行GO和KEGG富集分析,发现随着AMI后时间延长,差异表达基因数量整体呈上升趋势,且表达以上调为主.GO富集结果显示,随着AMI后的时间延长,不同时间点差异表达基因沿时序所参与的心肌收缩的调节、心肌肥大、血管发育的调节、炎症反应的调节等生物功能,符合AMI后的病理生理过程.KEGG结果显示,在AMI后1~48 h的5个时间点均富集到MAPK信号通路.MAPK级联反应在MI后可以促进心肌细胞生长,抑制心肌细胞间的缝隙连接,促进心肌纤维化进而推动病理性心肌纤维化的发展[8 -9 ] ,这提示MAPK信号通路在AMI的发生发展过程中发挥关键作用. ...
Atorvastatin improves cardiac function of mice with acute myocardial infarction by interfering in macrophages to activate mitogen-activated protein kinase pathway
1
2021
... 本研究通过对AMI的1 320个差异表达基因进行GO和KEGG富集分析,发现随着AMI后时间延长,差异表达基因数量整体呈上升趋势,且表达以上调为主.GO富集结果显示,随着AMI后的时间延长,不同时间点差异表达基因沿时序所参与的心肌收缩的调节、心肌肥大、血管发育的调节、炎症反应的调节等生物功能,符合AMI后的病理生理过程.KEGG结果显示,在AMI后1~48 h的5个时间点均富集到MAPK信号通路.MAPK级联反应在MI后可以促进心肌细胞生长,抑制心肌细胞间的缝隙连接,促进心肌纤维化进而推动病理性心肌纤维化的发展[8 -9 ] ,这提示MAPK信号通路在AMI的发生发展过程中发挥关键作用. ...
Transcriptome from circulating cells suggests dysregulated pathways associated with long-term recurrent events following first-time myocardial infarction
1
2014
... 本研究分析的多个AMI关键基因中,MYL7、TSC22D2、HSPA1A、BTG2、NR4A1、RYR2 的时序性差异表达有较明显的特异性,可能在AMI的发生发展中发挥重要作用.SURESH等[10 ] 将发生AMI的31名患者与正常人的外周血进行比较,发现MYL7、TSC22D2、BTG2、NR4A1、RYR2 均存在异常表达.MYL7 参与肌动蛋白细胞骨架合成,调节心脏发育和心肌收缩[11 ] ,已有学者通过监测AMI患者MYL7 的同系物MYL1 评估心肌梗死组织面积,被认为是极具潜力的AMI诊断标志物[12 -13 ] .如能在AMI猝死者中证实MYL7 的特异性,则可以通过单克隆固相酶免疫测定和放射免疫测定将检测MYL7 应用于AMI猝死的法医学实践.TSC22D2 隶属于TSC22 家族,是转化生长因子-β(transforming growth factor-β,TGF-β)的主要效应因子.研究[14 -15 ] 结果表明,TSC22 通过促进TGF-β信号传导引起多种纤维化因子(如α-SMA、血浆纤溶酶原激活物抑制剂-1、胶原蛋白Ⅰ和纤连蛋白)的过表达,促进MI后心肌纤维化.HSPA1A是一种自我保护蛋白,过表达可以增强损伤心肌的耐受性,抑制心肌纤维化、改善心肌细胞坏死性改变[16 ] .有研究[17 ] 结果表明,在AMI后早期(第2天)和晚期(第7天)的炎症反应阶段,异常表达的HSPA1A可能参与炎症反应,本研究结果与其相同.BTG2 调节细胞周期、参与应激反应[18 ] ,有研究[19 ] 结果显示,BTG2 在MI后表达上调,本研究结果与其一致.BTG2 可能是MI关键调节因子.NR4A1 可以有效抑制心肌肥大、血管狭窄,在MI后早期可以参与单核细胞的炎症反应,晚期可能介导巨噬细胞的损伤修复反应[20 -21 ] .RYR2 的过度活化已被证实与恶性心律不齐、心肌收缩功能障碍和心脏中的不良结构重塑密切相关[22 ] . ...
Transcriptome profiling reveals novel BMI- and sex-specific gene expression signatures for human cardiac hypertrophy
1
2017
... 本研究分析的多个AMI关键基因中,MYL7、TSC22D2、HSPA1A、BTG2、NR4A1、RYR2 的时序性差异表达有较明显的特异性,可能在AMI的发生发展中发挥重要作用.SURESH等[10 ] 将发生AMI的31名患者与正常人的外周血进行比较,发现MYL7、TSC22D2、BTG2、NR4A1、RYR2 均存在异常表达.MYL7 参与肌动蛋白细胞骨架合成,调节心脏发育和心肌收缩[11 ] ,已有学者通过监测AMI患者MYL7 的同系物MYL1 评估心肌梗死组织面积,被认为是极具潜力的AMI诊断标志物[12 -13 ] .如能在AMI猝死者中证实MYL7 的特异性,则可以通过单克隆固相酶免疫测定和放射免疫测定将检测MYL7 应用于AMI猝死的法医学实践.TSC22D2 隶属于TSC22 家族,是转化生长因子-β(transforming growth factor-β,TGF-β)的主要效应因子.研究[14 -15 ] 结果表明,TSC22 通过促进TGF-β信号传导引起多种纤维化因子(如α-SMA、血浆纤溶酶原激活物抑制剂-1、胶原蛋白Ⅰ和纤连蛋白)的过表达,促进MI后心肌纤维化.HSPA1A是一种自我保护蛋白,过表达可以增强损伤心肌的耐受性,抑制心肌纤维化、改善心肌细胞坏死性改变[16 ] .有研究[17 ] 结果表明,在AMI后早期(第2天)和晚期(第7天)的炎症反应阶段,异常表达的HSPA1A可能参与炎症反应,本研究结果与其相同.BTG2 调节细胞周期、参与应激反应[18 ] ,有研究[19 ] 结果显示,BTG2 在MI后表达上调,本研究结果与其一致.BTG2 可能是MI关键调节因子.NR4A1 可以有效抑制心肌肥大、血管狭窄,在MI后早期可以参与单核细胞的炎症反应,晚期可能介导巨噬细胞的损伤修复反应[20 -21 ] .RYR2 的过度活化已被证实与恶性心律不齐、心肌收缩功能障碍和心脏中的不良结构重塑密切相关[22 ] . ...
Myosin light chains release in acute myocardial infarction: Non-invasive estimation of infarct size
1
1988
... 本研究分析的多个AMI关键基因中,MYL7、TSC22D2、HSPA1A、BTG2、NR4A1、RYR2 的时序性差异表达有较明显的特异性,可能在AMI的发生发展中发挥重要作用.SURESH等[10 ] 将发生AMI的31名患者与正常人的外周血进行比较,发现MYL7、TSC22D2、BTG2、NR4A1、RYR2 均存在异常表达.MYL7 参与肌动蛋白细胞骨架合成,调节心脏发育和心肌收缩[11 ] ,已有学者通过监测AMI患者MYL7 的同系物MYL1 评估心肌梗死组织面积,被认为是极具潜力的AMI诊断标志物[12 -13 ] .如能在AMI猝死者中证实MYL7 的特异性,则可以通过单克隆固相酶免疫测定和放射免疫测定将检测MYL7 应用于AMI猝死的法医学实践.TSC22D2 隶属于TSC22 家族,是转化生长因子-β(transforming growth factor-β,TGF-β)的主要效应因子.研究[14 -15 ] 结果表明,TSC22 通过促进TGF-β信号传导引起多种纤维化因子(如α-SMA、血浆纤溶酶原激活物抑制剂-1、胶原蛋白Ⅰ和纤连蛋白)的过表达,促进MI后心肌纤维化.HSPA1A是一种自我保护蛋白,过表达可以增强损伤心肌的耐受性,抑制心肌纤维化、改善心肌细胞坏死性改变[16 ] .有研究[17 ] 结果表明,在AMI后早期(第2天)和晚期(第7天)的炎症反应阶段,异常表达的HSPA1A可能参与炎症反应,本研究结果与其相同.BTG2 调节细胞周期、参与应激反应[18 ] ,有研究[19 ] 结果显示,BTG2 在MI后表达上调,本研究结果与其一致.BTG2 可能是MI关键调节因子.NR4A1 可以有效抑制心肌肥大、血管狭窄,在MI后早期可以参与单核细胞的炎症反应,晚期可能介导巨噬细胞的损伤修复反应[20 -21 ] .RYR2 的过度活化已被证实与恶性心律不齐、心肌收缩功能障碍和心脏中的不良结构重塑密切相关[22 ] . ...
Quantitative relationship between left ventricular function and serum cardiac myosin light chain I levels after coronary reperfusion in patients with acute myocardial infarction
1
1987
... 本研究分析的多个AMI关键基因中,MYL7、TSC22D2、HSPA1A、BTG2、NR4A1、RYR2 的时序性差异表达有较明显的特异性,可能在AMI的发生发展中发挥重要作用.SURESH等[10 ] 将发生AMI的31名患者与正常人的外周血进行比较,发现MYL7、TSC22D2、BTG2、NR4A1、RYR2 均存在异常表达.MYL7 参与肌动蛋白细胞骨架合成,调节心脏发育和心肌收缩[11 ] ,已有学者通过监测AMI患者MYL7 的同系物MYL1 评估心肌梗死组织面积,被认为是极具潜力的AMI诊断标志物[12 -13 ] .如能在AMI猝死者中证实MYL7 的特异性,则可以通过单克隆固相酶免疫测定和放射免疫测定将检测MYL7 应用于AMI猝死的法医学实践.TSC22D2 隶属于TSC22 家族,是转化生长因子-β(transforming growth factor-β,TGF-β)的主要效应因子.研究[14 -15 ] 结果表明,TSC22 通过促进TGF-β信号传导引起多种纤维化因子(如α-SMA、血浆纤溶酶原激活物抑制剂-1、胶原蛋白Ⅰ和纤连蛋白)的过表达,促进MI后心肌纤维化.HSPA1A是一种自我保护蛋白,过表达可以增强损伤心肌的耐受性,抑制心肌纤维化、改善心肌细胞坏死性改变[16 ] .有研究[17 ] 结果表明,在AMI后早期(第2天)和晚期(第7天)的炎症反应阶段,异常表达的HSPA1A可能参与炎症反应,本研究结果与其相同.BTG2 调节细胞周期、参与应激反应[18 ] ,有研究[19 ] 结果显示,BTG2 在MI后表达上调,本研究结果与其一致.BTG2 可能是MI关键调节因子.NR4A1 可以有效抑制心肌肥大、血管狭窄,在MI后早期可以参与单核细胞的炎症反应,晚期可能介导巨噬细胞的损伤修复反应[20 -21 ] .RYR2 的过度活化已被证实与恶性心律不齐、心肌收缩功能障碍和心脏中的不良结构重塑密切相关[22 ] . ...
TSC22D2 interacts with PKM2 and inhibits cell growth in colorectal cancer
1
2016
... 本研究分析的多个AMI关键基因中,MYL7、TSC22D2、HSPA1A、BTG2、NR4A1、RYR2 的时序性差异表达有较明显的特异性,可能在AMI的发生发展中发挥重要作用.SURESH等[10 ] 将发生AMI的31名患者与正常人的外周血进行比较,发现MYL7、TSC22D2、BTG2、NR4A1、RYR2 均存在异常表达.MYL7 参与肌动蛋白细胞骨架合成,调节心脏发育和心肌收缩[11 ] ,已有学者通过监测AMI患者MYL7 的同系物MYL1 评估心肌梗死组织面积,被认为是极具潜力的AMI诊断标志物[12 -13 ] .如能在AMI猝死者中证实MYL7 的特异性,则可以通过单克隆固相酶免疫测定和放射免疫测定将检测MYL7 应用于AMI猝死的法医学实践.TSC22D2 隶属于TSC22 家族,是转化生长因子-β(transforming growth factor-β,TGF-β)的主要效应因子.研究[14 -15 ] 结果表明,TSC22 通过促进TGF-β信号传导引起多种纤维化因子(如α-SMA、血浆纤溶酶原激活物抑制剂-1、胶原蛋白Ⅰ和纤连蛋白)的过表达,促进MI后心肌纤维化.HSPA1A是一种自我保护蛋白,过表达可以增强损伤心肌的耐受性,抑制心肌纤维化、改善心肌细胞坏死性改变[16 ] .有研究[17 ] 结果表明,在AMI后早期(第2天)和晚期(第7天)的炎症反应阶段,异常表达的HSPA1A可能参与炎症反应,本研究结果与其相同.BTG2 调节细胞周期、参与应激反应[18 ] ,有研究[19 ] 结果显示,BTG2 在MI后表达上调,本研究结果与其一致.BTG2 可能是MI关键调节因子.NR4A1 可以有效抑制心肌肥大、血管狭窄,在MI后早期可以参与单核细胞的炎症反应,晚期可能介导巨噬细胞的损伤修复反应[20 -21 ] .RYR2 的过度活化已被证实与恶性心律不齐、心肌收缩功能障碍和心脏中的不良结构重塑密切相关[22 ] . ...
TSC22D2 identified as a candidate susceptibility gene of multi-cancer pedigree using genome-wide linkage analysis and whole-exome sequencing
1
2019
... 本研究分析的多个AMI关键基因中,MYL7、TSC22D2、HSPA1A、BTG2、NR4A1、RYR2 的时序性差异表达有较明显的特异性,可能在AMI的发生发展中发挥重要作用.SURESH等[10 ] 将发生AMI的31名患者与正常人的外周血进行比较,发现MYL7、TSC22D2、BTG2、NR4A1、RYR2 均存在异常表达.MYL7 参与肌动蛋白细胞骨架合成,调节心脏发育和心肌收缩[11 ] ,已有学者通过监测AMI患者MYL7 的同系物MYL1 评估心肌梗死组织面积,被认为是极具潜力的AMI诊断标志物[12 -13 ] .如能在AMI猝死者中证实MYL7 的特异性,则可以通过单克隆固相酶免疫测定和放射免疫测定将检测MYL7 应用于AMI猝死的法医学实践.TSC22D2 隶属于TSC22 家族,是转化生长因子-β(transforming growth factor-β,TGF-β)的主要效应因子.研究[14 -15 ] 结果表明,TSC22 通过促进TGF-β信号传导引起多种纤维化因子(如α-SMA、血浆纤溶酶原激活物抑制剂-1、胶原蛋白Ⅰ和纤连蛋白)的过表达,促进MI后心肌纤维化.HSPA1A是一种自我保护蛋白,过表达可以增强损伤心肌的耐受性,抑制心肌纤维化、改善心肌细胞坏死性改变[16 ] .有研究[17 ] 结果表明,在AMI后早期(第2天)和晚期(第7天)的炎症反应阶段,异常表达的HSPA1A可能参与炎症反应,本研究结果与其相同.BTG2 调节细胞周期、参与应激反应[18 ] ,有研究[19 ] 结果显示,BTG2 在MI后表达上调,本研究结果与其一致.BTG2 可能是MI关键调节因子.NR4A1 可以有效抑制心肌肥大、血管狭窄,在MI后早期可以参与单核细胞的炎症反应,晚期可能介导巨噬细胞的损伤修复反应[20 -21 ] .RYR2 的过度活化已被证实与恶性心律不齐、心肌收缩功能障碍和心脏中的不良结构重塑密切相关[22 ] . ...
Heat shock protein-inducing compounds as therapeutics to restore proteostasis in atrial fibrillation
1
2012
... 本研究分析的多个AMI关键基因中,MYL7、TSC22D2、HSPA1A、BTG2、NR4A1、RYR2 的时序性差异表达有较明显的特异性,可能在AMI的发生发展中发挥重要作用.SURESH等[10 ] 将发生AMI的31名患者与正常人的外周血进行比较,发现MYL7、TSC22D2、BTG2、NR4A1、RYR2 均存在异常表达.MYL7 参与肌动蛋白细胞骨架合成,调节心脏发育和心肌收缩[11 ] ,已有学者通过监测AMI患者MYL7 的同系物MYL1 评估心肌梗死组织面积,被认为是极具潜力的AMI诊断标志物[12 -13 ] .如能在AMI猝死者中证实MYL7 的特异性,则可以通过单克隆固相酶免疫测定和放射免疫测定将检测MYL7 应用于AMI猝死的法医学实践.TSC22D2 隶属于TSC22 家族,是转化生长因子-β(transforming growth factor-β,TGF-β)的主要效应因子.研究[14 -15 ] 结果表明,TSC22 通过促进TGF-β信号传导引起多种纤维化因子(如α-SMA、血浆纤溶酶原激活物抑制剂-1、胶原蛋白Ⅰ和纤连蛋白)的过表达,促进MI后心肌纤维化.HSPA1A是一种自我保护蛋白,过表达可以增强损伤心肌的耐受性,抑制心肌纤维化、改善心肌细胞坏死性改变[16 ] .有研究[17 ] 结果表明,在AMI后早期(第2天)和晚期(第7天)的炎症反应阶段,异常表达的HSPA1A可能参与炎症反应,本研究结果与其相同.BTG2 调节细胞周期、参与应激反应[18 ] ,有研究[19 ] 结果显示,BTG2 在MI后表达上调,本研究结果与其一致.BTG2 可能是MI关键调节因子.NR4A1 可以有效抑制心肌肥大、血管狭窄,在MI后早期可以参与单核细胞的炎症反应,晚期可能介导巨噬细胞的损伤修复反应[20 -21 ] .RYR2 的过度活化已被证实与恶性心律不齐、心肌收缩功能障碍和心脏中的不良结构重塑密切相关[22 ] . ...
Transcriptome analysis of the ischemia-reperfused remode-ling myocardium: Temporal changes in inflammation and extracellular matrix
1
2006
... 本研究分析的多个AMI关键基因中,MYL7、TSC22D2、HSPA1A、BTG2、NR4A1、RYR2 的时序性差异表达有较明显的特异性,可能在AMI的发生发展中发挥重要作用.SURESH等[10 ] 将发生AMI的31名患者与正常人的外周血进行比较,发现MYL7、TSC22D2、BTG2、NR4A1、RYR2 均存在异常表达.MYL7 参与肌动蛋白细胞骨架合成,调节心脏发育和心肌收缩[11 ] ,已有学者通过监测AMI患者MYL7 的同系物MYL1 评估心肌梗死组织面积,被认为是极具潜力的AMI诊断标志物[12 -13 ] .如能在AMI猝死者中证实MYL7 的特异性,则可以通过单克隆固相酶免疫测定和放射免疫测定将检测MYL7 应用于AMI猝死的法医学实践.TSC22D2 隶属于TSC22 家族,是转化生长因子-β(transforming growth factor-β,TGF-β)的主要效应因子.研究[14 -15 ] 结果表明,TSC22 通过促进TGF-β信号传导引起多种纤维化因子(如α-SMA、血浆纤溶酶原激活物抑制剂-1、胶原蛋白Ⅰ和纤连蛋白)的过表达,促进MI后心肌纤维化.HSPA1A是一种自我保护蛋白,过表达可以增强损伤心肌的耐受性,抑制心肌纤维化、改善心肌细胞坏死性改变[16 ] .有研究[17 ] 结果表明,在AMI后早期(第2天)和晚期(第7天)的炎症反应阶段,异常表达的HSPA1A可能参与炎症反应,本研究结果与其相同.BTG2 调节细胞周期、参与应激反应[18 ] ,有研究[19 ] 结果显示,BTG2 在MI后表达上调,本研究结果与其一致.BTG2 可能是MI关键调节因子.NR4A1 可以有效抑制心肌肥大、血管狭窄,在MI后早期可以参与单核细胞的炎症反应,晚期可能介导巨噬细胞的损伤修复反应[20 -21 ] .RYR2 的过度活化已被证实与恶性心律不齐、心肌收缩功能障碍和心脏中的不良结构重塑密切相关[22 ] . ...
Tumor suppressors BTG1 and BTG2: Beyond growth control
1
2019
... 本研究分析的多个AMI关键基因中,MYL7、TSC22D2、HSPA1A、BTG2、NR4A1、RYR2 的时序性差异表达有较明显的特异性,可能在AMI的发生发展中发挥重要作用.SURESH等[10 ] 将发生AMI的31名患者与正常人的外周血进行比较,发现MYL7、TSC22D2、BTG2、NR4A1、RYR2 均存在异常表达.MYL7 参与肌动蛋白细胞骨架合成,调节心脏发育和心肌收缩[11 ] ,已有学者通过监测AMI患者MYL7 的同系物MYL1 评估心肌梗死组织面积,被认为是极具潜力的AMI诊断标志物[12 -13 ] .如能在AMI猝死者中证实MYL7 的特异性,则可以通过单克隆固相酶免疫测定和放射免疫测定将检测MYL7 应用于AMI猝死的法医学实践.TSC22D2 隶属于TSC22 家族,是转化生长因子-β(transforming growth factor-β,TGF-β)的主要效应因子.研究[14 -15 ] 结果表明,TSC22 通过促进TGF-β信号传导引起多种纤维化因子(如α-SMA、血浆纤溶酶原激活物抑制剂-1、胶原蛋白Ⅰ和纤连蛋白)的过表达,促进MI后心肌纤维化.HSPA1A是一种自我保护蛋白,过表达可以增强损伤心肌的耐受性,抑制心肌纤维化、改善心肌细胞坏死性改变[16 ] .有研究[17 ] 结果表明,在AMI后早期(第2天)和晚期(第7天)的炎症反应阶段,异常表达的HSPA1A可能参与炎症反应,本研究结果与其相同.BTG2 调节细胞周期、参与应激反应[18 ] ,有研究[19 ] 结果显示,BTG2 在MI后表达上调,本研究结果与其一致.BTG2 可能是MI关键调节因子.NR4A1 可以有效抑制心肌肥大、血管狭窄,在MI后早期可以参与单核细胞的炎症反应,晚期可能介导巨噬细胞的损伤修复反应[20 -21 ] .RYR2 的过度活化已被证实与恶性心律不齐、心肌收缩功能障碍和心脏中的不良结构重塑密切相关[22 ] . ...
Icariside II protects cardiomyocytes from hypoxia?induced injury by upregulating the miR?7?5p/BTG2 axis and activating the PI3K/Akt signaling pathway
1
2020
... 本研究分析的多个AMI关键基因中,MYL7、TSC22D2、HSPA1A、BTG2、NR4A1、RYR2 的时序性差异表达有较明显的特异性,可能在AMI的发生发展中发挥重要作用.SURESH等[10 ] 将发生AMI的31名患者与正常人的外周血进行比较,发现MYL7、TSC22D2、BTG2、NR4A1、RYR2 均存在异常表达.MYL7 参与肌动蛋白细胞骨架合成,调节心脏发育和心肌收缩[11 ] ,已有学者通过监测AMI患者MYL7 的同系物MYL1 评估心肌梗死组织面积,被认为是极具潜力的AMI诊断标志物[12 -13 ] .如能在AMI猝死者中证实MYL7 的特异性,则可以通过单克隆固相酶免疫测定和放射免疫测定将检测MYL7 应用于AMI猝死的法医学实践.TSC22D2 隶属于TSC22 家族,是转化生长因子-β(transforming growth factor-β,TGF-β)的主要效应因子.研究[14 -15 ] 结果表明,TSC22 通过促进TGF-β信号传导引起多种纤维化因子(如α-SMA、血浆纤溶酶原激活物抑制剂-1、胶原蛋白Ⅰ和纤连蛋白)的过表达,促进MI后心肌纤维化.HSPA1A是一种自我保护蛋白,过表达可以增强损伤心肌的耐受性,抑制心肌纤维化、改善心肌细胞坏死性改变[16 ] .有研究[17 ] 结果表明,在AMI后早期(第2天)和晚期(第7天)的炎症反应阶段,异常表达的HSPA1A可能参与炎症反应,本研究结果与其相同.BTG2 调节细胞周期、参与应激反应[18 ] ,有研究[19 ] 结果显示,BTG2 在MI后表达上调,本研究结果与其一致.BTG2 可能是MI关键调节因子.NR4A1 可以有效抑制心肌肥大、血管狭窄,在MI后早期可以参与单核细胞的炎症反应,晚期可能介导巨噬细胞的损伤修复反应[20 -21 ] .RYR2 的过度活化已被证实与恶性心律不齐、心肌收缩功能障碍和心脏中的不良结构重塑密切相关[22 ] . ...
Targeting NR4A1 (TR3) in cancer cells and tumors
1
2011
... 本研究分析的多个AMI关键基因中,MYL7、TSC22D2、HSPA1A、BTG2、NR4A1、RYR2 的时序性差异表达有较明显的特异性,可能在AMI的发生发展中发挥重要作用.SURESH等[10 ] 将发生AMI的31名患者与正常人的外周血进行比较,发现MYL7、TSC22D2、BTG2、NR4A1、RYR2 均存在异常表达.MYL7 参与肌动蛋白细胞骨架合成,调节心脏发育和心肌收缩[11 ] ,已有学者通过监测AMI患者MYL7 的同系物MYL1 评估心肌梗死组织面积,被认为是极具潜力的AMI诊断标志物[12 -13 ] .如能在AMI猝死者中证实MYL7 的特异性,则可以通过单克隆固相酶免疫测定和放射免疫测定将检测MYL7 应用于AMI猝死的法医学实践.TSC22D2 隶属于TSC22 家族,是转化生长因子-β(transforming growth factor-β,TGF-β)的主要效应因子.研究[14 -15 ] 结果表明,TSC22 通过促进TGF-β信号传导引起多种纤维化因子(如α-SMA、血浆纤溶酶原激活物抑制剂-1、胶原蛋白Ⅰ和纤连蛋白)的过表达,促进MI后心肌纤维化.HSPA1A是一种自我保护蛋白,过表达可以增强损伤心肌的耐受性,抑制心肌纤维化、改善心肌细胞坏死性改变[16 ] .有研究[17 ] 结果表明,在AMI后早期(第2天)和晚期(第7天)的炎症反应阶段,异常表达的HSPA1A可能参与炎症反应,本研究结果与其相同.BTG2 调节细胞周期、参与应激反应[18 ] ,有研究[19 ] 结果显示,BTG2 在MI后表达上调,本研究结果与其一致.BTG2 可能是MI关键调节因子.NR4A1 可以有效抑制心肌肥大、血管狭窄,在MI后早期可以参与单核细胞的炎症反应,晚期可能介导巨噬细胞的损伤修复反应[20 -21 ] .RYR2 的过度活化已被证实与恶性心律不齐、心肌收缩功能障碍和心脏中的不良结构重塑密切相关[22 ] . ...
Ly-6Chigh monocytes depend on Nr4a1 to balance both inflammatory and reparative phases in the infarcted myocardium
1
2014
... 本研究分析的多个AMI关键基因中,MYL7、TSC22D2、HSPA1A、BTG2、NR4A1、RYR2 的时序性差异表达有较明显的特异性,可能在AMI的发生发展中发挥重要作用.SURESH等[10 ] 将发生AMI的31名患者与正常人的外周血进行比较,发现MYL7、TSC22D2、BTG2、NR4A1、RYR2 均存在异常表达.MYL7 参与肌动蛋白细胞骨架合成,调节心脏发育和心肌收缩[11 ] ,已有学者通过监测AMI患者MYL7 的同系物MYL1 评估心肌梗死组织面积,被认为是极具潜力的AMI诊断标志物[12 -13 ] .如能在AMI猝死者中证实MYL7 的特异性,则可以通过单克隆固相酶免疫测定和放射免疫测定将检测MYL7 应用于AMI猝死的法医学实践.TSC22D2 隶属于TSC22 家族,是转化生长因子-β(transforming growth factor-β,TGF-β)的主要效应因子.研究[14 -15 ] 结果表明,TSC22 通过促进TGF-β信号传导引起多种纤维化因子(如α-SMA、血浆纤溶酶原激活物抑制剂-1、胶原蛋白Ⅰ和纤连蛋白)的过表达,促进MI后心肌纤维化.HSPA1A是一种自我保护蛋白,过表达可以增强损伤心肌的耐受性,抑制心肌纤维化、改善心肌细胞坏死性改变[16 ] .有研究[17 ] 结果表明,在AMI后早期(第2天)和晚期(第7天)的炎症反应阶段,异常表达的HSPA1A可能参与炎症反应,本研究结果与其相同.BTG2 调节细胞周期、参与应激反应[18 ] ,有研究[19 ] 结果显示,BTG2 在MI后表达上调,本研究结果与其一致.BTG2 可能是MI关键调节因子.NR4A1 可以有效抑制心肌肥大、血管狭窄,在MI后早期可以参与单核细胞的炎症反应,晚期可能介导巨噬细胞的损伤修复反应[20 -21 ] .RYR2 的过度活化已被证实与恶性心律不齐、心肌收缩功能障碍和心脏中的不良结构重塑密切相关[22 ] . ...
The structural basis of ryanodine receptor ion channel function
1
2017
... 本研究分析的多个AMI关键基因中,MYL7、TSC22D2、HSPA1A、BTG2、NR4A1、RYR2 的时序性差异表达有较明显的特异性,可能在AMI的发生发展中发挥重要作用.SURESH等[10 ] 将发生AMI的31名患者与正常人的外周血进行比较,发现MYL7、TSC22D2、BTG2、NR4A1、RYR2 均存在异常表达.MYL7 参与肌动蛋白细胞骨架合成,调节心脏发育和心肌收缩[11 ] ,已有学者通过监测AMI患者MYL7 的同系物MYL1 评估心肌梗死组织面积,被认为是极具潜力的AMI诊断标志物[12 -13 ] .如能在AMI猝死者中证实MYL7 的特异性,则可以通过单克隆固相酶免疫测定和放射免疫测定将检测MYL7 应用于AMI猝死的法医学实践.TSC22D2 隶属于TSC22 家族,是转化生长因子-β(transforming growth factor-β,TGF-β)的主要效应因子.研究[14 -15 ] 结果表明,TSC22 通过促进TGF-β信号传导引起多种纤维化因子(如α-SMA、血浆纤溶酶原激活物抑制剂-1、胶原蛋白Ⅰ和纤连蛋白)的过表达,促进MI后心肌纤维化.HSPA1A是一种自我保护蛋白,过表达可以增强损伤心肌的耐受性,抑制心肌纤维化、改善心肌细胞坏死性改变[16 ] .有研究[17 ] 结果表明,在AMI后早期(第2天)和晚期(第7天)的炎症反应阶段,异常表达的HSPA1A可能参与炎症反应,本研究结果与其相同.BTG2 调节细胞周期、参与应激反应[18 ] ,有研究[19 ] 结果显示,BTG2 在MI后表达上调,本研究结果与其一致.BTG2 可能是MI关键调节因子.NR4A1 可以有效抑制心肌肥大、血管狭窄,在MI后早期可以参与单核细胞的炎症反应,晚期可能介导巨噬细胞的损伤修复反应[20 -21 ] .RYR2 的过度活化已被证实与恶性心律不齐、心肌收缩功能障碍和心脏中的不良结构重塑密切相关[22 ] . ...