法医学杂志 ›› 2023, Vol. 39 ›› Issue (5): 457-464.DOI: 10.12116/j.issn.1004-5619.2022.320101

• 论著 • 上一篇    下一篇

可疑电子烟油中5种吲哚或吲唑酰胺类合成大麻素的GC-MS定性和定量分析

刘翠梅1(), 贾薇1, 宋春辉2, 钱振华1, 花镇东1, 陈月猛3()   

  1. 1.公安部禁毒情报技术中心 毒品监测管控与禁毒关键技术公安部重点实验室,北京 100193
    2.中国药科大学药学院,江苏 南京 210009
    3.贵阳市公安局禁毒支队,贵州 贵阳 550081
  • 收稿日期:2022-01-10 发布日期:2023-11-24 出版日期:2023-10-25
  • 通讯作者: 陈月猛
  • 作者简介:陈月猛,男,工程师,主要从事毒品检验鉴定;E-mail:cym13984091203@163.com
    刘翠梅(1983—),女,博士,副研究员,主要从事毒品鉴定和特征分析研究;E-mail:liucuimei8258@163.com
  • 基金资助:
    公安部科技计划资助项目(2021JC23);国家重点研发计划资助项目(2022YFC3300902)

Qualitative and Quantitative Analysis of Five Indoles or Indazole Amide Synthetic Cannabinoids in Suspected E-Cigarette Oil by GC-MS

Cui-mei LIU1(), Wei JIA1, Chun-hui SONG2, Zhen-hua QIAN1, Zhen-dong HUA1, Yue-meng CHEN3()   

  1. 1.Key Laboratory of Drug Monitoring and Control, Drug Intelligence and Forensic Center, Ministry of Public Security, Beijing 100193, China
    2.School of Pharmacy, China Pharmaceutical University, Nanjing 210009, China
    3.Drug Control Detachment of Guiyang Public Security Bureau, Guiyang 550081, China
  • Received:2022-01-10 Online:2023-11-24 Published:2023-10-25
  • Contact: Yue-meng CHEN

摘要:

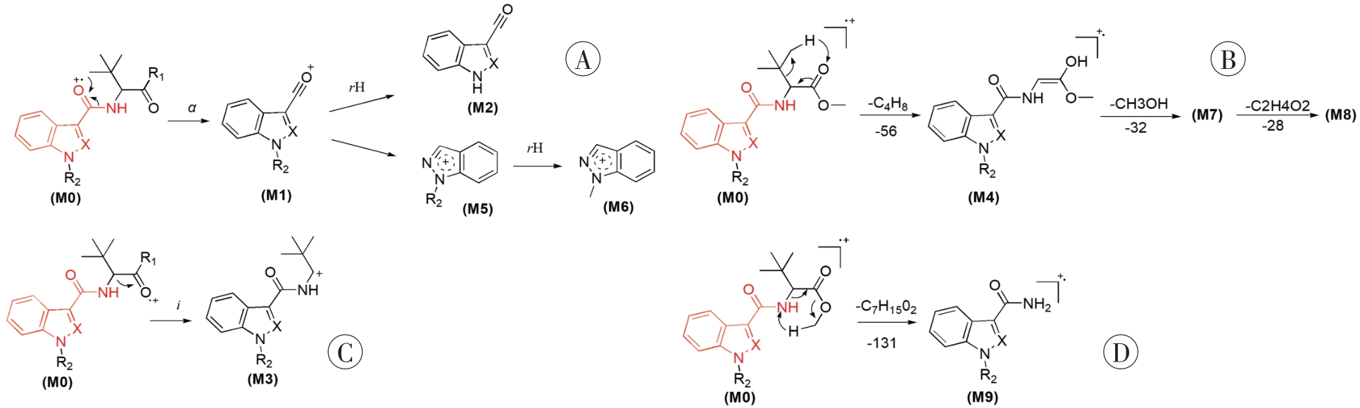
目的 建立可疑电子烟油样品中合成大麻素及其主要基质、添加物的GC-MS定性定量分析方法。 方法 电子烟油样品用甲醇稀释后进行GC-MS分析,以特征碎片离子和保留时间对电子烟油中的合成大麻素及其主要基质、添加物进行定性分析,在选择离子监测模式下对合成大麻素进行定量分析。 结果 GC-MS定量方法中各化合物的线性范围为0.025~1 mg/mL,基质加标回收率为94%~103%,日内精密度相对标准偏差小于2.5%,日间精密度相对标准偏差小于4.0%。在25份电子烟油样品中检出了5种吲哚或吲唑酰胺类合成大麻素类物质。电子烟油的基质主要为丙二醇、丙三醇,部分样品中还检出了N,2,3-三甲基-2-异丙基丁酰胺、三乙酸甘油酯和尼古丁等添加物。25份电子烟油样品中合成大麻素的含量范围为0.05%~2.74%。 结论 所建立的电子烟油样品中合成大麻素、基质、添加物的GC-MS方法选择性好、分离度高、检出限低,可用于多组分同时定性和定量分析;所探讨的吲哚或吲唑酰胺类化合物的电子轰击离子源碎片离子碎裂机制有助于鉴定该类物质或其他具有类似结构的化合物。

关键词: 法医毒物化学, 电子烟油, 合成大麻素, 气相色谱-质谱, 吲哚, 吲唑酰胺

Abstract:

Objective To establish the GC-MS qualitative and quantitative analysis methods for the synthetic cannabinoids, its main matrix and additives in suspicious electronic cigarette (e-cigarette) oil samples. Methods The e-cigarette oil samples were analyzed by GC-MS after diluted with methanol. Synthetic cannabinoids, its main matrix and additives in e-cigarette oil samples were qualitatively analyzed by the characteristic fragment ions and retention time. The synthetic cannabinoids were quantitatively analyzed by using the selective ion monitoring mode. Results The linear range of each compound in GC-MS quantitative method was 0.025-1 mg/mL, the matrix recovery rate was 94%-103%, the intra-day precision relative standard deviations (RSD) was less than 2.5%, and inter-day precision RSD was less than 4.0%. Five indoles or indazole amide synthetic cannabinoids were detected in 25 e-cigarette samples. The main matrixes of e-cigarette samples were propylene glycol and glycerol. Additives such as N,2,3-trimethyl-2-isopropyl butanamide (WS-23), glycerol triacetate and nicotine were detected in some samples. The content range of synthetic cannabinoids in 25 e-cigarette samples was 0.05%-2.74%. Conclusion The GC-MS method for synthesizing cannabinoid, matrix and additive in e-cigarette oil samples has good selectivity, high resolution, low detection limit, and can be used for simultaneous qualitative and quantitative analysis of multiple components; The explored fragment ion fragmentation mechanism of the electron bombardment ion source of indole or indoxamide compounds helps to identify such substances or other compounds with similar structures in cases.

Key words: forensic toxicology, e-cigarette oil, synthetic cannabinoids, gas chromatography-mass spectrometry (GC-MS), indole, indazole amide

中图分类号: