Journal of Forensic Medicine ›› 2025, Vol. 41 ›› Issue (5): 456-467.DOI: 10.12116/j.issn.1004-5619.2025.450404

Special Issue: 法医微生物学专题

• Topic on Microbiomics • Previous Articles     Next Articles

Effect of Temperature on Microbial Succession in Different Tissues of Cadavers and Estimation of Postmortem Interval

Ji CHEN1(), Yu-rong ZHAO2(), Xin HUANG1, Yi-ling QU1,3, Yan-fang LU1, Yu XING1,4, Han ZHANG1, Jian-ye ZENG1, Shi-lin LI1(), Su-hua ZHANG1()   

  1. 1.Institute of Forensic Science, Fudan University, Shanghai 200032, China
    2.School of Life Sciences, Fudan University, Shanghai 200438, China
    3.West China School of Preclinical Medicine and Forensic Medicine, Sichuan University, Chengdu 610041, China
    4.Department of Forensic Medicine, Basic Medicine College, Inner Mongolia Medical University, Hohhot 010110, China
  • Received:2025-04-02 Online:2026-01-27 Published:2025-10-25
  • Contact: Shi-lin LI, Su-hua ZHANG

Abstract:

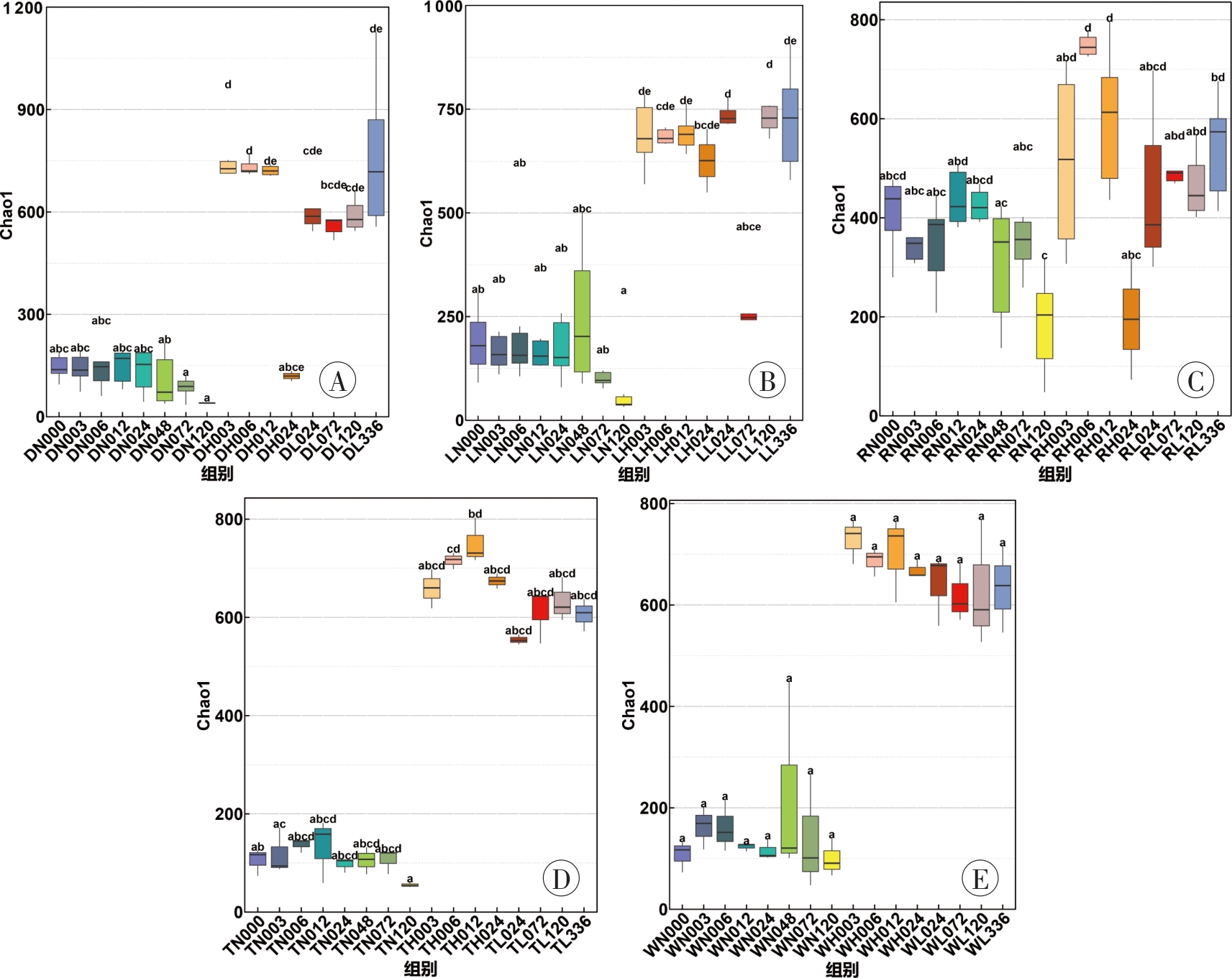
Objective To explore the distribution characteristics of microbial communities in various rat tissues under different temperature conditions and their dynamic changes over the postmortem interval(PMI), and to analyze the effects of temperature and tissue type on microbial succession in cadavers. Methods A total of 96 rats were sacrificed by cervical dislocation and then placed under room temperature (20 ℃, n=48), high temperature (40 ℃, n=24), and low temperature (-20 ℃, n=24) conditions. Tissue samples from the diaphragm, lung, rectum, testis, and uterus were collected at various PMIs. Microbial community composition was analyzed using 16S rRNA high-throughput sequencing of the 16S rRNA gene V3-V4 regions. α-diversity, β-diversity, phylum- and genus-level species distributions, PMI-associated biomarkers analysis and species differential analysis were employed to systematically compare the effects of temperature and tissue type on microbial succession. Results Under room temperature, microbial diversity exhibited a nonlinear trend, initially increasing and then decreasing. High temperature condition accelerated microbial succession and resulted in a significant decrease in microbial diversity within 24 hours. Low temperature slowed the succession, maintaining relatively high diversity and stable species distribution. The rectal microbial community differed significantly from those in other tissues. The phylum Proteobacteria, especially the genus Proteus, showed a significant increase in relative abundance in various tissues after 48 hours at room temperature and 24 hours at high temperature. Conclusion The dynamic succession patterns of microbial communities in multiple tissues under different temperature conditions confirm the significant regulatory effect of temperature on microbial diversity and species distribution, providing an important basis for optimizing microbiome-based PMI estimation methods.

Key words: forensic pathology, forensic microbiology, microbiomics, postmortem interval estimation, 16S rRNA, temperature, rats

CLC Number: